OFDM技术(1)—— 码元与比特的概念

最近无论是学5G技术还是计通网课程都有提到码元这一概念,于是就做了点研究。
码元基本概念
码元的官方解释为:在数字通信中常常用时间间隔相同的符号来表示一个二进制数字,这样的时间间隔内的信号称为(二进制)码元。
通俗来讲,一个脉冲信号所携带的信息就是一个码元,一个脉冲信号(码元)可以携带1bit、2bit或4bit等的数据,当由0或1组成的比特流转换成模拟信号,即 时,我们可以利用正弦波的幅度、频率或相位将比特流信息搬移到信道频带上。
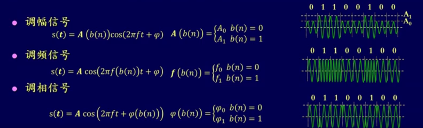
上图的三种信号中,一个码元只携带1bit数据,非0即1,此时为二进制调制,离散取值数量为2,且波特率等于比特率。
其中,波特率又称码元率,是指每秒传输码元的数目,单位波特(Band);比特率为每秒传输的比特数。
由此可得波特率和比特率的关系:
若码元的离散取值数目是L,波特率是B,比特率为C,则 。
当一个码元携带多bit数据时,可以用多进制调制或联合调制(即调节多个参数)。
码间串扰
什么是码间串扰
码间串扰指信号的前一个码元产生拖尾,使得其后端部分与后一码元杂糅,从而影响抽样判决的准确性。
那么为什么会产生拖尾呢?有两个常见的原因:带限信道和多径效应。
带限信道引起的码间串扰
我们以矩形脉冲信号为例。
在信号脉冲成型时双极性矩形波很常见,生成理想的矩形波,需要使用矩形脉冲信号。 但是,矩形脉冲信号在频域上是sinc函数覆盖整个频域轴,即带宽B 无限大。但是实际可供信号通过的信道带宽是有限的,因此会使信号频域带减小,相应的时域上信号就会变宽,从而产生拖尾。
多径效应引起的码间串扰
多径效应(multipath effect):指电波传播除了直射波和地面反射波之外,在传播过程中还会有各种障碍物所引起的散射波,这些波经不同路径传播后,各分量场到达接收端时间不同,第一个多径分量到达的时刻和最后一个多径分量到达的时刻,这之间存在一个时间差。
当这个时间差超过了一个码元的宽度之后,就意味着,上一个码元的一部分多径分量,在这个码元本应该传输完毕的时候,还没有到达接收点,而是混在了下一个码元的多径分量中到达的接收点,从而对下一个码元产生了干扰——叠加的时候不仅有自己的分量,还有别人的分量。
码间串扰的解决
码间干扰是数字通信系统中除噪声干扰之外最主要的干扰,它与加性的噪声干扰不同,是一种乘性的干扰。
那么如何消除码间干扰呢,这就要请到这一系列的主角了——OFDM技术,下一篇博客见。
参考资料
- 遥遥. 怎样形象理解码元?. [2020-01-06]
- 青铜葵花IC. 什么是码间串扰. [ 2019-08-16]
- 凝望,划过星空.scut. 深入理解奈奎斯特第一准则与码间串扰. [2020-02-18]




